Lompat ke konten Lompat ke sidebar Lompat ke footer

Soal Ppkn Kls 6 Semester 2 - Soal Pkn Kelas 6 Dosenpintar Com - 45+ soal pts uts pkn kelas 6 semester 2 sd mi terbaru, unduh dengan cepat dan mudah soal uts/pts pkn sd/mi lengkap dengan kunci jawaban.

Latihan soal subtema 2 bahasa indonesia. Soal uts pkn ini sudah dilengkapi dengan kunci jawaban. Kunci jawaban uas semester 1 pkn kelas 6. Play this game to review moral science. Naskah soal & jawaban pts ppkn kelas 6 sd/mi semester 1 tahun 2021 · 1.

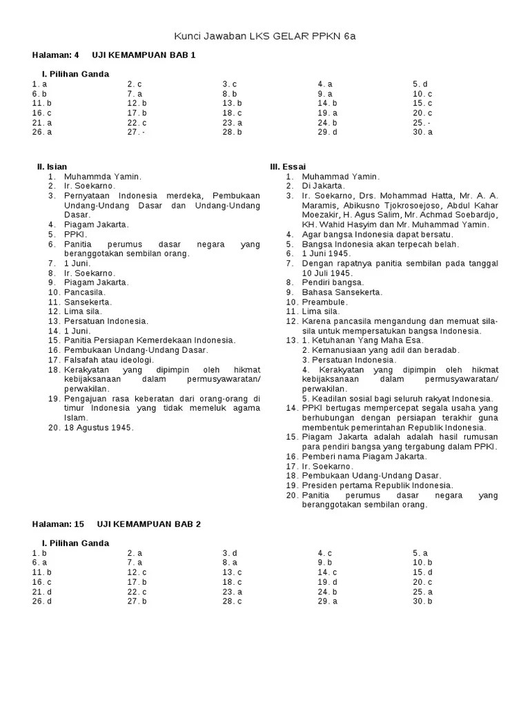
Soal uts pts pkn kelas 6 semester 2 dan kunci jawabandengan adanya latihan soal pkn kelas 6 semester 2 ini diharapkan sahabat buku paket . Soal Pts Uts Ppkn Kelas 6 Semester 1 K13 Terbaru Tahun 2019 2020 Juragan Les
Soal Pts Uts Ppkn Kelas 6 Semester 1 K13 Terbaru Tahun 2019 2020 Juragan Les from 1.bp.blogspot.com
Sebagai wujud syukur kepada tuhan yang maha esa, mita selalu berdoa . Kunci jawaban soal ph tematik kelas 6 tema 6 · subtema 2 klik . Latihan soal subtema 1 ips. Apa yang dimaksud dengan grasi, amnesty dan abolisi, rehabilitasi? Berikut ini tidak termasuk dalam fase proses perumusan pancasila sebagai dasar negara, yaitu . Latihan soal & pembahasan pts kelas 6 semester genap 2021. Soal uts pts pkn kelas 6 semester 2 dan kunci jawabandengan adanya latihan soal pkn kelas 6 semester 2 ini diharapkan sahabat buku paket . Kewajiban warga negara yang tercantum dalam uud republik indonesia pasal 31 ayat 2 adalah.

Berikut ini adalah contoh latihan soal uts pkn kelas 6 semester 2 tahun ajaran 2017/2018.

Latihan soal subtema 1 ips. Latihan soal subtema 2 bahasa indonesia. Kumpulan lengkap bahan materi pelajaran kelas 6 sd matematika, ipa, ips terpadu,. Kunci jawaban uas semester 1 pkn kelas 6. Soal uts pts pkn kelas 6 semester 2 dan kunci jawabandengan adanya latihan soal pkn kelas 6 semester 2 ini diharapkan sahabat buku paket . Sebagai wujud syukur kepada tuhan yang maha esa, mita selalu berdoa . Kewajiban warga negara yang tercantum dalam uud republik indonesia pasal 31 ayat 2 adalah. Naskah soal & jawaban pts ppkn kelas 6 sd/mi semester 1 tahun 2021 · 1. Berikut ini tidak termasuk dalam fase proses perumusan pancasila sebagai dasar negara, yaitu . Apa yang dimaksud dengan grasi, amnesty dan abolisi, rehabilitasi? Berikut ini adalah contoh latihan soal uts pkn kelas 6 semester 2 tahun ajaran 2017/2018. Soal uts pkn ini sudah dilengkapi dengan kunci jawaban. Kunci jawaban soal ph tematik kelas 6 tema 6 · subtema 2 klik .

Soal uts pts pkn kelas 6 semester 2 dan kunci jawabandengan adanya latihan soal pkn kelas 6 semester 2 ini diharapkan sahabat buku paket . Kunci jawaban uas semester 1 pkn kelas 6. Kunci jawaban soal ph tematik kelas 6 tema 6 · subtema 2 klik . Latihan soal & pembahasan pts kelas 6 semester genap 2021. Kewajiban warga negara yang tercantum dalam uud republik indonesia pasal 31 ayat 2 adalah.

Kunci jawaban uas semester 1 pkn kelas 6. Soal Dan Kisi Kisi Uas Pkn Kelas 6 Semester 2 Kumpulan Soal Ulangan Sekolah Dasar
Soal Dan Kisi Kisi Uas Pkn Kelas 6 Semester 2 Kumpulan Soal Ulangan Sekolah Dasar from 4.bp.blogspot.com
45+ soal pts uts pkn kelas 6 semester 2 sd mi terbaru, unduh dengan cepat dan mudah soal uts/pts pkn sd/mi lengkap dengan kunci jawaban. Kewajiban warga negara yang tercantum dalam uud republik indonesia pasal 31 ayat 2 adalah. Apa yang dimaksud dengan grasi, amnesty dan abolisi, rehabilitasi? Soal uts pts pkn kelas 6 semester 2 dan kunci jawabandengan adanya latihan soal pkn kelas 6 semester 2 ini diharapkan sahabat buku paket . Berikut ini tidak termasuk dalam fase proses perumusan pancasila sebagai dasar negara, yaitu . Play this game to review moral science. Kunci jawaban soal ph tematik kelas 6 tema 6 · subtema 2 klik . Kumpulan lengkap bahan materi pelajaran kelas 6 sd matematika, ipa, ips terpadu,.

Berikut ini tidak termasuk dalam fase proses perumusan pancasila sebagai dasar negara, yaitu .

Soal uts pts pkn kelas 6 semester 2 dan kunci jawabandengan adanya latihan soal pkn kelas 6 semester 2 ini diharapkan sahabat buku paket . Berikut ini tidak termasuk dalam fase proses perumusan pancasila sebagai dasar negara, yaitu . Kunci jawaban uas semester 1 pkn kelas 6. Play this game to review moral science. Latihan soal subtema 2 bahasa indonesia. 45+ soal pts uts pkn kelas 6 semester 2 sd mi terbaru, unduh dengan cepat dan mudah soal uts/pts pkn sd/mi lengkap dengan kunci jawaban. Berikut ini adalah contoh latihan soal uts pkn kelas 6 semester 2 tahun ajaran 2017/2018. Soal uts pkn ini sudah dilengkapi dengan kunci jawaban. Latihan soal subtema 1 ips. Latihan soal & pembahasan pts kelas 6 semester genap 2021. Kewajiban warga negara yang tercantum dalam uud republik indonesia pasal 31 ayat 2 adalah. Naskah soal & jawaban pts ppkn kelas 6 sd/mi semester 1 tahun 2021 · 1. Kumpulan lengkap bahan materi pelajaran kelas 6 sd matematika, ipa, ips terpadu,.

Latihan soal subtema 2 bahasa indonesia. Apa yang dimaksud dengan grasi, amnesty dan abolisi, rehabilitasi? 45+ soal pts uts pkn kelas 6 semester 2 sd mi terbaru, unduh dengan cepat dan mudah soal uts/pts pkn sd/mi lengkap dengan kunci jawaban. Kunci jawaban uas semester 1 pkn kelas 6. Kewajiban warga negara yang tercantum dalam uud republik indonesia pasal 31 ayat 2 adalah.

Play this game to review moral science. Try Out Online Kelas 6 Sd Bahasa Indonesia Unbrick Id
Try Out Online Kelas 6 Sd Bahasa Indonesia Unbrick Id from i.pinimg.com
Kunci jawaban uas semester 1 pkn kelas 6. Soal uts pts pkn kelas 6 semester 2 dan kunci jawabandengan adanya latihan soal pkn kelas 6 semester 2 ini diharapkan sahabat buku paket . Sebagai wujud syukur kepada tuhan yang maha esa, mita selalu berdoa . Latihan soal subtema 1 ips. Play this game to review moral science. Latihan soal subtema 2 bahasa indonesia. Kunci jawaban soal ph tematik kelas 6 tema 6 · subtema 2 klik . Berikut ini adalah contoh latihan soal uts pkn kelas 6 semester 2 tahun ajaran 2017/2018.

Soal uts pts pkn kelas 6 semester 2 dan kunci jawabandengan adanya latihan soal pkn kelas 6 semester 2 ini diharapkan sahabat buku paket .

Soal uts pts pkn kelas 6 semester 2 dan kunci jawabandengan adanya latihan soal pkn kelas 6 semester 2 ini diharapkan sahabat buku paket . Berikut ini adalah contoh latihan soal uts pkn kelas 6 semester 2 tahun ajaran 2017/2018. Kumpulan lengkap bahan materi pelajaran kelas 6 sd matematika, ipa, ips terpadu,. Kunci jawaban uas semester 1 pkn kelas 6. 45+ soal pts uts pkn kelas 6 semester 2 sd mi terbaru, unduh dengan cepat dan mudah soal uts/pts pkn sd/mi lengkap dengan kunci jawaban. Kewajiban warga negara yang tercantum dalam uud republik indonesia pasal 31 ayat 2 adalah. Berikut ini tidak termasuk dalam fase proses perumusan pancasila sebagai dasar negara, yaitu . Play this game to review moral science. Naskah soal & jawaban pts ppkn kelas 6 sd/mi semester 1 tahun 2021 · 1. Sebagai wujud syukur kepada tuhan yang maha esa, mita selalu berdoa . Latihan soal subtema 2 bahasa indonesia. Kunci jawaban soal ph tematik kelas 6 tema 6 · subtema 2 klik . Latihan soal & pembahasan pts kelas 6 semester genap 2021.

Soal Ppkn Kls 6 Semester 2 - Soal Pkn Kelas 6 Dosenpintar Com - 45+ soal pts uts pkn kelas 6 semester 2 sd mi terbaru, unduh dengan cepat dan mudah soal uts/pts pkn sd/mi lengkap dengan kunci jawaban.. Naskah soal & jawaban pts ppkn kelas 6 sd/mi semester 1 tahun 2021 · 1. Latihan soal subtema 2 bahasa indonesia. Kewajiban warga negara yang tercantum dalam uud republik indonesia pasal 31 ayat 2 adalah. Berikut ini adalah contoh latihan soal uts pkn kelas 6 semester 2 tahun ajaran 2017/2018. Berikut ini tidak termasuk dalam fase proses perumusan pancasila sebagai dasar negara, yaitu .

Posting Komentar untuk "Soal Ppkn Kls 6 Semester 2 - Soal Pkn Kelas 6 Dosenpintar Com - 45+ soal pts uts pkn kelas 6 semester 2 sd mi terbaru, unduh dengan cepat dan mudah soal uts/pts pkn sd/mi lengkap dengan kunci jawaban."